2. Dioden und Transistoren
Aufgabe 2.1.1 Diode bei höheren Frequenzen
Aufgabe 2.1.1 Diode bei höheren Frequenzen
In Ihrer Firma „HHN Mechatronics & Robotics“ haben Sie einen Eintaktgleichrichter aufgebaut, um ein sinusförmiges Messsignal von ($f=200kHz$, Amplitude $\hat{U} = 5V$, Ausgangswiderstand des Sensors $R_q = 10k$) gleichzurichten. Dazu haben Sie eine einfacher Schaltung mit der „Si-Gleichrichterdiode“ $D=1N5400$ und einen Glättungskondensator mit $C=10pF$ aufgebaut. Als Messgerät nutzten Sie ein Oszilloskop (Rigol DS1000E). Die Schaltung ist in nebenstehender Skizze gezeichnet.
Ihr Kollege hat Sie bereits darauf hingewiesen, dass bei hohen Frequenzen manche Dioden ein Problem mit dem Gleichrichten bekommen. Das haben Sie beim Durchmessen des Aufbaus und Blick auf das Oszilloskop auch gemerkt…
Schreiben Sie den erwarteten Signalverlauf vor der jeweiligen Simulation auf.
1. Suchen Sie in der Anleitung des Oszilloskops die Werte der Eingangsimpedanz, welche in der Schaltung für den Eingangswiderstand $R_E$ und die Eingangskapazität $C_E$ benötigt werden.
Bilden Sie die Schaltung in mit den Angaben von oben TINA TI nach (Schaltung 1). Dabei ist - wie in der Skizze dargestellt - die Eingangsimpedanz des Oszilloskops zu berücksichtigen.
Simulieren Sie die Schaltung 1 mit dem angegebenen Signal. Beschreiben Sie kurz den erwarteten und gemessenen Signalverlauf.
- Eingangswiderstand $R_E = 1 M\Omega \pm 2%$
- Eingangskapazität $C_E = 18 pF \pm 3 pF$
- Erwartung ist ein geglättetes Ausgangsignal
- Ergebnis ist ein nicht geglättetes Signal, welches etwas abgeschwächt und phasenverschoben ist
2. Versuchen Sie die Kapazität des Kondensator $C$ so abzustimmen, dass sich der erwartete, gleichgerichtete Wert einstellt. Was stellen Sie fest?
- Ergebnis ist zwar ein geglättetes Signal, welches etwas abgeschwächt und phasenverschoben ist, aber der Gleichanteil ist nur etwa $0,8V$ welche sich aus den $5V$ Eingangsamplitude ergeben
3. Da irgendwas komisch zu sein scheint, wollen Sie die Schaltung debuggen, also den Fehler ermitteln. Sie nutzen dazu einen generischen Ansatz für die Fehlersuche und wollen das unklare System auf ein Minimum herunterbrechen. Konkret heißt das: Sie bauen eine geänderte Schaltung auf (Schaltung 2): der Sensor wird durch einen Funktionsgenerator (gleiche Frequenz und Amplitude, aber $R_q = 50 \Omega$) ersetzt, und der Glättungskondensator $C$ wird durch eine offene Leitung ersetzt (ist also nicht mehr vorhanden). Simulieren Sie die Schaltung 2 mit dem bisherig angegebenen Signal. Beschreiben Sie kurz den erwarteten und gemessenen Signalverlauf.
- Ergebnis ist das die Diode scheinbar keine Gleichrichtung zeigt. Das Ausgangssignal sieht prinzipiell wie das Eingangssignal aus, nur ein wenig gedämpft.
4. Gehen Sie nun noch einen Schritt zurück und versuchen etwas mehr Strom über die Diode fließen zu lassen. In Schaltung 2 war der Strom durch $R_E$ begrenzt und die Diode damit noch nicht über $U_S=0,7V$ betrieben. Die Idee ist nun in Schaltung 3 auch den Eingangswiderstand auf $R_E = 50 \Omega$ zu schalten (dies ist bei einigen Oszilloskopen möglich). Der Rest der Schaltung 3 gleicht Schaltung 2.
Simulieren Sie die Schaltung 3 mit dem bisherig angegebenen Signal. Beschreiben Sie kurz den erwarteten und gemessenen Signalverlauf.
- Es zeigt sich tatsächlich eine Gleichrichtung. Aber die Eingangsamplitude von $5V$ ergibt nur einen maximalen Ausgangswert von etwa $2V$. Zudem ist die Gleichrichtung nicht vollständig und zeigt in den ersten $\mu s$ ein negatives Signal
5. Nun scheinen Sie dem Problem näher zu kommen. Sie variieren Eingangswiderstand auf $R_E = 500 \Omega$ (Schaltung 4)
Simulieren Sie die Schaltung 4 mit dem angegebenen Signal. Beschreiben Sie kurz den erwarteten und gemessenen Signalverlauf.
- Es zeigt sich eine bessere Gleichrichtung. Die Eingangsamplitude von $5V$ ergibt einen maximalen Ausgangswert von etwa $4V$. Die Gleichrichtung ist immer noch nicht vollständig und zeigt in den ersten $\mu s$ ein negatives Signal
6. Ihr Kollege gibt Ihnen den Tipp, dass der Verlauf (Siehe Bild) typisch sei für einen zu großen Sperrverzug / eine zu große Sperrverzugszeit (reverse recovery time $t_{rr}$). Diese ist in Tina über die Transitzeit (Transit Time $TT$) nachgebildet und eine zu große Sperrschichtkapazität (junction capacity $C_j$ oder diode capacity $C_D$). Diese Werte sind in Tina TI über folgendes Vorgehen veränderbar: Doppeklick auf die Diode » Klick auf … bei Type » Suchen der genannten Größen.
Sie wollen nun analysieren wie jeweils der Sperrverzug und die Sperrschichtkapazität auf den Spannungsverlauf (bei Schaltung 4) bewirkt.
Simulieren und beschreiben Sie dafür den Spannungsverlauf wenn einerseits den Sperrverzug auf $0s$ zurückgesetzt oder andererseits die Sperrschichtkapazität auf $0F$ zurückgesetzt wird.
- Bei $TT=0 $ ergibt sich nur ein allmählicher Anstieg des Ausgangsspannung im Bereich der negativen Halbwelle
- Bei $C_i=0 $ ergibt sich nur ein „Spike“ in den negativen Bereich, aber kein allmählicher Anstieg des Ausgangsspannung im Bereich der negativen Halbwelle
Wählen Sie statt der Diode $D=1N5400$ die Diode $D=1N4148$ und simulieren Sie nochmals die Schaltung 3 und Schaltung 1.
Wie verhält sich nun der Spannungsverlauf und warum?
- Nun scheint das Gleichrichten und Glätten zu funktionieren
Aufgabe 2.1.2 Berechnung eines Vorwiderstands für eine Diode
Aufgabe 2.1.2 Berechnung eines Vorwiderstands für eine Diode
Sie wollen eine rote Leuchtdiode an einer Spannungsquelle von $U_q = 5 V$ mit einem Strom von $I_D = 20 mA$ betreiben. Im Internet haben Sie einen Spannungsabfall von $U_D = 2,3 V$ für rote LEDs gefunden. Nun wollen Sie wissen, welcher Widerstand aus der (Ihnen vorliegenden) E12-Reihe der richtige ist.
1. Zeichnen Sie die Schaltung der LED mit Vorwiderstand und zeichnen Sie die Spannungen ein.
2. Wie groß muss der Vorwiderstand $R_V$ bemessen sein, damit sich der oben genannte Spannungsabfall $U_S$ ergibt?
\begin{align*} R_V = {{U_R}\over{I_R}} = {{U_q - U_D}\over{I_D}} = {{5V - 2,3V}\over{0,02A}} = 135 \Omega \end{align*}
3. Suchen Sie im Datenblatt der roten LED TLUR6400 den Zusammenhang zwischen Durchflussspannung („Forward Voltage“) und Durchflussstrom („Forward Current“). Welcher Spannungsabfall $U_D$ lässt sich daraus für $I_D = 20 mA$ ermitteln und wie groß ist der korrekte Vorwiderstand?
\begin{align*} R_V = {{U_R}\over{I_R}} = {{U_q - U_{D1}}\over{I_D}} = {{5,0V - 2,0V}\over{0,02A}} = 150 \Omega \end{align*}
4. Vergleichen Sie kurz die unterschiedlichen Ergebnisse unter Berücksichtigung der E12 Reihe.
- In der E12 Reihe sind $120 \Omega$ und $150 \Omega$ vorhanden
- Die ermittelten Werte sprechen für die Verwendung eines $150 \Omega$ Widerstands
Aufgabe 2.1.3 Z-Diode als Spannungsreferenz
Aufgabe 2.1.3 Z-Diode als Spannungsreferenz
Eine Z-Diode ermöglicht in einer Spannungsreferenz-Schaltung, dass - trotz einer schwankenden Eingangsspannung - eine Ausgangsspannung relativ konstant gehalten werden kann. Dazu kann im einfachsten Fall eine Schaltung wie rechts abgebildet verwendet werden. Für die Aufgabe sollen folgenden Größen genutzt werden:
- Quellenspannung $U_q=7,0 ... 13,0V$ (z.B. über sinusförmige Eingangsspannung mit $f = 50 Hz$),
- Vorwiderstand $R_V=1,0k\Omega $
- Lastwiderstand $R_L=10k\Omega $
- Z-Diode $D_Z$ als $BZX84C6V2$ ($U_Z = 6,2 V$)
Von einer idealen (Z-)Diode würde man annehmen, dass die Durchbruchspannung $U_Z$ bei allen Sperrströmen $I_S$ gehalten werden kann.
Für die reale Diode soll dies überprüft werden.
1. + 2. Bilden Sie die Schaltung in Tina TI nach. Vergleichen Sie den Verlauf von $U_L$ zu $U_q$. Messen Sie dabei insbesondere Maximal- und Minimalwert von $U_L$.
- $U_L$ scheint fast konstant auf $6,12V ... 6,21V$ fest zu liegen.
- Grund ist der steile Anstieg des Durchbruchstroms der Z-Diode im Bereich um $6,2V$
3. + 4. Ändern Sie den Lastwiderstand auf $R_L=1,0k\Omega $ und führen Sie den gleichen Vergleich von $U_L$ zu $U_q$ nochmals durch. Wie lässt sich der Unterschied erklären?
- Es scheint fließt zwar nun mehr Strom aus der Quelle heraus. Dieser fließt aber im Wesentlichen über den Lastwiderstand R_L.
- Da weniger über die Diode fließt, der „Ventileffekt“ um $6,2 V$ nicht mehr so stark.
- Die Spannung über den Lastwiderstand ist nun nicht mehr annähernd konstant, sondern bewegt sich zwischen $3,5 V ... 6,15V$. Bei Quellspannungen um zwischen $12V ... 13V$ („Spitze“des Sinus) ist eine flacher Verlauf zu sehen.
--> Die Z-Diode funktioniert nur als Spannungsreferenz, wenn sie nicht stark belastet wird
Aufgabe 2.1.4 Berechnung des differentiellen Widerstands einer Diode
Aufgabe 2.1.4 Berechnung des differentiellen Widerstands einer Diode
Der differentielle Widerstand $r_D$ einer Diode wurde bereits im Kapitel beschrieben. Dieser ist notwendig, wenn eine Diode über ein vereinfachtes Dioden-Modell (Spannungsquelle + Widerstand + ggf. ideale Diode) nachgebildet werden soll. In der Abbildung sehen Sie den differentiellen Leitwert $g_D={{1}\over{r_D}}$ als lokale Steigung am gewünschten Arbeitspunkt. Berechnen Sie den differentiellen Widerstand $r_D$ bei einem Durchlassstrom $I_D=15 mA$ für Raumtemperatur ($T=293K$) und $m=1$ aus der Shockley-Gleichung: ${I_F = I_S(T)\cdot (e^{\frac{U_F}{m\cdot U_T}}-1)}$ mit $U_T = \frac{k_B \cdot T}{e}$ Berechnen Sie dazu zunächst die allgemeine Formel für den differentiellen Widerstand $r_D$.
Schritte: 1. Vereinfachen Sie als erstes die Shockley-Gleichung für $U_F >> U_T$
\begin{align*} I_F &= I_S(T)\cdot (e^{\frac{U_F}{m\cdot U_T}}-1) \quad | \quad \text{ mit } U_F >> U_T \\ &= I_S(T)\cdot e^{\frac{U_F}{m\cdot U_T}} \\ \end{align*}
2. Rechnen Sie $\frac {d I_F}{d U_F}$ aus
\begin{align*} \frac {d I_F}{d U_F} &= {{d}\over{d U_F}} I_S(T) \cdot e^{\frac{U_F}{m\cdot U_T}} \\ &= I_S(T) \cdot{{1}\over{m\cdot U_T}} \cdot e^{\frac{U_F}{m\cdot U_T}} \\ \end{align*}
3. Ersetzen Sie einen Teil des Ergebnisses wiederum durch $I_F$ und drehen Sie den Bruch für die Berechnung des differentiellen Widerstands um $r_D = \frac {d U_F}{d I_F}$.
Als Ergebnis sollte nun $r_D = \frac {d U_F}{d I_F} = \frac {m \cdot U_T}{I_F} $ vorliegen.
\begin{align*} \frac {d I_F}{d U_F} &= {{1}\over{m\cdot U_T}} \cdot I_F \\ \rightarrow \frac {d U_F}{d I_F} &= {{m\cdot U_T}\over{I_F}} = r_D \\ \end{align*}
4. Rechnen Sie $r_D$ aus.
\begin{align*} U_T &= \frac{k_B \cdot T}{e} = \frac{1,38 \cdot 10^{-23} J/K \cdot 293 K }{1,6 \cdot 10^{-19} C} = 0,0252 V \\ r_D &= {{1\cdot 0,0252 V}\over{0,015 A}} = 1,68 \Omega \\ \end{align*}
Aufgabe 2.10.1 Betafaktor eines BJT
Aufgabe 2.10.1 Betafaktor eines BJT
- Ein Bipolartransistor (engl. bipolar junction transitor, BJT) regelt den Strom durch eine Last. Es ergibt sich ein Kollektorstrom $I_C = 398 mA$ und ein Basisstrom $I_B= 2 mA$. Welchen Wert hat die Stromverstärkung $\beta$?
$\beta = {{I_C}\over{I_B}} = {{398 mA}\over{2 mA}} = 199$
- Ein häufig genutzter Bipolartransistor ist der BC847, welcher von verschiedenen Herstellern gekauft werden kann. Es soll das Datenblatt BC847 - Nexperia verwendet werden. Was ist der benötigte Basisstrom $I_B$, wenn ein Kollektorstrom $I_C=2mA$ über den Transistor fließen soll? Berechnen Sie $I_B$ für alle 3 Arten des BC847 Transistors im Datenblatt.
Siehe Datenblatt, Seite 8:
$\beta$ von richtigen Transistoren streut sehr weit, sowohl nach Temperatur, Produktion und Basisstrom $I_B$:
- Für Gruppe A Transistoren ergibt sich: $\beta = 110..220 \rightarrow I_B = 9..18\mu A$
- Für Gruppe B Transistoren ergibt sich: $\beta = 200..450 \rightarrow I_B = 4..10\mu A$
- Für Gruppe C Transistoren ergibt sich: $\beta = 420..800 \rightarrow I_B = 2.5..4.7 \mu A$
Aufgabe 2.10.2: Spannungsberechnung
Aufgabe 2.10.2: Spannungsberechnung
Es soll untenstehende Schaltung (zunächst mit den darin angegebenen Werten) gegeben sein.
1. In Fall $1$ ist der Basisstrom mit $I_{B,1}=50\mu A$ und die Stromverstärkung $\beta_1=150$ gegeben.
Berechnen Sie den Spannungsabfall $U_{L,1}$ an der Last $R_L$ und die Spannung $U_{CE,1}$.
- Mit $I_{B,1}=50\mu A$ und $\beta=150$ ergibt sich ein maximaler Kollektorstrom $I_C= I_B \cdot \beta = 50\mu A \cdot 150 = 7.5mA$.
- Mit $ I_C = 7.5mA$ ergibt sich ein Spannungsabfall am Widerstand $R_L$ von $U_L = R_L \ cdot I_C = 360 \Omega \cdot 7.5 mA = 2.7 V$
- $U_{CE,1}$ über den Transistor ergibt sich gerade als der „Rest“ der Versorgungsspannung: $U_{CE,1} = U_S - U_L = 2.3V$
2. Im Fall $2$ wird ein Basisstrom $I_{B,2}=250\mu A$ benötigt.
a) Berechnen Sie dafür als erstes $U_{BE,1}$ in der ersten Situation. $U_{BE}$ wird nun als konstant angenommen ($U_{BE}=U_{BE,1}=U_{BE,2}$).
$U_{R,1}$ ergibt sich für die erste Situation als $U_{R,1} = R \cdot I_{B,1} = 87k\Omega \cdot 50\mu A = 4.35 V$.
Damit wird $U_{BE,1} = U_S - U_{R,1} = 0.65 V$
b) Berechnen Sie den benötigten Wert für $R_{B,2}$.
$R_{B,2}$ ist durch den durchfließenden Strom $I_{B,2}=250\mu A$ und den Spannungsabfall $U_{R,2} = U_{R,1} = U_S - U_{BE,1} = 4.35 V$ gegeben.
Der Widerstandwert ist damit $R_{B,2} = U_{R,2} / I_{B,2} = 17.4 k \Omega$.
c) Starten Sie die Simulation und setzen Sie $R_B$ zu dem berechneten Wert. Versuchen Sie $\beta_2$ zu ermitteln. Warum ist dies nun nicht mehr gleich $\beta_1 = 150$?
Wenn $\beta_2 = \beta_1 = 150$ wäre, dann ergäbe sich ein Strom $I_{C,2} = \beta_1 \cdot I_B = 150 \cdot 250\mu A = 37.5 mA$.
Der Spannungsabfall am Lastwiderstand $U_{L,2}$ wäre dann: $U_{L,2}= R_L \cdot I_{C,2} = 360 \Omega \cdot 37.5 mA = 13.5 V$.
Das ist aber mehr als die Versorgungspannung $U_S = 5V$! Der maximal mögliche Wert für $\beta_2$ ist $\beta_2 = I_{C,2} / I_{B,2} = (U_S / R_L)/ I_{B,2} = 5V / (250 \mu A \cdot 360 \Omega )= 55.6$
Aufgabe 2.10.4: Einfacher Temperaturdetektor
Aufgabe 2.10.4: Einfacher Temperaturdetektor
Es soll die Schaltung unten gegeben sein. $R_2$ ist ein NTC Widerstand, der als Sensor das Überschreiten einer Grenztemperatur detektierbar machen soll. In der Schaltung kann die Temperatur über den Regler Temperature rechts geändert werden.
1. Als Erstes soll der Reihenwiderstand vor der LED berechnet werden. Dazu kann der Spannungsabfall $U_{CE}$ am Bipolartransistor zunächst vernachlässigt werden. Die LED soll bei $10mA$ hell leuchten (das Leuchten startet etwa bei $1mA$). Die Versorgungsspannung sei $U_S=5.0V$ und die Kniespannung der LED $U_{LED}=1.7V$.
a) Was ist der ideale Wert für $R_D$?
Um den Widerstandswert $R_D$ zu berechnen ist der Strom- und Spannungswert $U_D, I_D$ am Widerstand notwendig.
Mit den Angaben kann $U_D= U_S = 5V$ und $I_D = 10mA$ angenommen werden. Damit wird $R_D = U_D / I_D = 5V / 10mA = 500\Omega$
b) In der Simulation ist der Wert nicht korrekt. Welchen Effekt hat dies?
Bei dem Widerstandswert $R_{D,sim}=1K\Omega$ aus der Simulation ergibt sich eine Schwelltemperatur von ca. $T_{sim} = 77...82°C$.
Bei dem Widerstandswert $R_{D,calc}=1K\Omega$ aus der Berechnung ergibt sich eine Schwelltemperatur von ca. $T_{calc} = 75...80°C$.
2. Als Zweites soll das System für einen Detektion der Grenztemperatur von $T_0=50°C$ konzeptioniert werden.
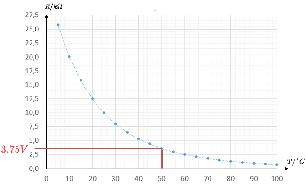
a) Die $R(T)$-Kennlinie des NTC $R_2$ ist im Diagramm unten dargestellt. Was ist der Wert von $R_2(T_0)$?
$R_2(T_0) = R(50°C) = 3.75k\Omega$
b) Der Bipolartransistor soll für $U_{BC}=0.6V$ voll leitfähig sein. Welchen Wert muss $R_1$ haben?
$R_1$ muss so gestaltet sein, dass der Spannungsteiler aus $R_1$ und $R_2$ gerade $U_{BC}=0.6V$ ergibt.
Es gilt also:
\begin{align*} {{R_2}\over{R_1+R_2}} &= {{U_{BC}}\over{U_S}} \\ {R_2}\cdot U_S &= U_{BC} \cdot (R_1+R_2) \\ &= U_{BC} \cdot R_1 + U_{BC} \cdot R_2 \\ U_{BC} \cdot R_1 &= {R_2}\cdot U_S - U_{BC} \cdot R_2\\ R_1 &= R_2 \cdot ({{U_S}\over{U_{BC}}}-1) \\ \end{align*}
Damit wird $R_2$ zu:
\begin{align*} R_1 &= R_2 \cdot ({{U_S}\over{U_{BC}}}-1) \\ &= 3.75 k\Omega \cdot ({{5V}\over{0.6V}}-1) \\ &= 27.5 k\Omega \\ \end{align*}
